Web Analytics Made Easy - Statcounter
how to calculate brim volume of coating pan Coating pans

how to calculate brim volume of coating pan Coating pans

Jual jenny house

If you are looking for Coating pans you've came to the right page. We have 35 Pictures about Coating pans like How To Calculate Volume Of A Block, Coating pan - Promas Engineering Pvt. Ltd. and also Coating Pan - SaintyTec. Here you go:

Coating Pans

Coating pans www.slideshare.net

coating pans

Tablet Coating Machine Principle & Working 2023 » Flair Pharma The

Tablet Coating Machine Principle & Working 2023 » Flair Pharma The flairpharma.com

SOLVED: (I) A Cup Of Water Containing An Ice Cube At 0^∘C Is Filled To

SOLVED: (I) A cup of water containing an ice cube at 0^∘C is filled to www.numerade.com

Pink Cookies (Polvorones Rosas) For Your Valentine — Y Delicacies

Pink Cookies (Polvorones Rosas) For Your Valentine — Y Delicacies www.ydelicacies.com

“Understanding And Addressing Common Film Coating Defects In

“Understanding and Addressing Common Film Coating Defects in pharmatimesofficial.com

Coating Pan - SaintyTec

Coating Pan - SaintyTec www.saintytec.com

coating saintytec

SOLVED: 3. (20%) Flow Reactors Designed To Reinforce The Basic CRE

SOLVED: 3. (20%) Flow Reactors Designed to reinforce the basic CRE www.numerade.com

Coating - Gansons

Coating - Gansons gansons.com

Nonstick Frying Pan 28cm | Deflon Ceramic Coating Pan, Furniture & Home

Nonstick Frying Pan 28cm | Deflon Ceramic Coating Pan, Furniture & Home www.carousell.sg

SOLVED: A Farmer Making Grape Juice Fills A Glass Bottle To The Brim

SOLVED: A farmer making grape juice fills a glass bottle to the brim www.numerade.com

SOLVED:⋯Predict/Calculate An Aluminum Saucepan With A Diameter Of 23 Cm

SOLVED:⋯Predict/Calculate An aluminum saucepan with a diameter of 23 cm www.numerade.com

Brim Volume Of 48 Inch Coating Pan Prices Online | Ricardoalpoim.com.br

Brim Volume Of 48 Inch Coating Pan Prices Online | ricardoalpoim.com.br ricardoalpoim.com.br

Hot Sale Automatic Tablet Peanut Almond Pill Sugar Coating Pan Machine

Hot Sale Automatic Tablet Peanut Almond Pill Sugar Coating Pan Machine www.alibaba.com

⏩SOLVED:A Farmer Making Grape Juice Fills A Glass Bottle To The Brim

⏩SOLVED:A farmer making grape juice fills a glass bottle to the brim www.numerade.com

SOLVED: A Farmer Making Grape Juice Fills A Glass Bottle To The Brim

SOLVED: A farmer making grape juice fills a glass bottle to the brim www.numerade.com

Fadware Saucepan With Lid 28 Cm / 3.8 L, Induction Low Stock Pot, Sauté

Fadware Saucepan with Lid 28 cm / 3.8 L, Induction Low Stock Pot, Sauté www.amazon.com.au

Brim Volume Of 48 Inch Coating Pan Vast Selection | Ricardoalpoim.com.br

Brim Volume Of 48 Inch Coating Pan Vast Selection | ricardoalpoim.com.br ricardoalpoim.com.br

How To Calculate Volume Of A Block

How To Calculate Volume Of A Block worksheetremittor.z14.web.core.windows.net

Coating Pan

Coating Pan www.legendpharma.co.in

specification angle

SOLVED: A Farmer Making Grape Juice Fills A Glass Bottle To The Brim

SOLVED: A farmer making grape juice fills a glass bottle to the brim www.numerade.com

Conventional Coating Pan - 30” To 72” SS Coating Pan

Conventional Coating Pan - 30” to 72” SS Coating Pan www.lodhapharma.com

pan coating conventional tablet

Conventional Coating Machine, Coating Pan Machine, Coating Machine

Conventional Coating Machine, Coating Pan Machine, Coating Machine www.adinathpharma.com

coating conventional tablet

2024 8kg Chocolate Tempering Moulding Coating Pan Machine Mini

2024 8kg Chocolate Tempering Moulding Coating Pan Machine Mini www.alibaba.com

Coating Pan - Promas Engineering Pvt. Ltd.

Coating pan - Promas Engineering Pvt. Ltd. www.promasengineers.com

principle

SOLVED: Points Save Answer A 100 L Tank Of Gas On A Certain Track Is

SOLVED: points Save Answer A 100 L tank of gas on a certain track is www.numerade.com

Jual Jenny House - World Volume Coating Tint 4.5 Ml - 5 Colors | Lip

Jual Jenny House - World Volume Coating Tint 4.5 Ml - 5 Colors | Lip www.blibli.com

Auto Tablet Coater - SaintyCo

Auto Tablet Coater - SaintyCo www.saintyco.com

coating pan parameters coater saintyco ultimate กระทะ เค ล อบ เต อร oq

Calculation For Capacity Of Tablet Coating Machine With Example

Calculation for Capacity of Tablet Coating Machine With Example pharmaguddu.com

SOLVED: Describe Three Different Ways To Measure The Volume Of An

SOLVED: Describe three different ways to measure the volume of an www.numerade.com

Volume Science Formula

Volume Science Formula learningschoolscrotums.z14.web.core.windows.net

Calculation For Capacity Of Tablet Coating Machine - Sparkler Filter

Calculation for Capacity of Tablet Coating Machine - Sparkler Filter sparklerfilterpress.in

calculation popcorn

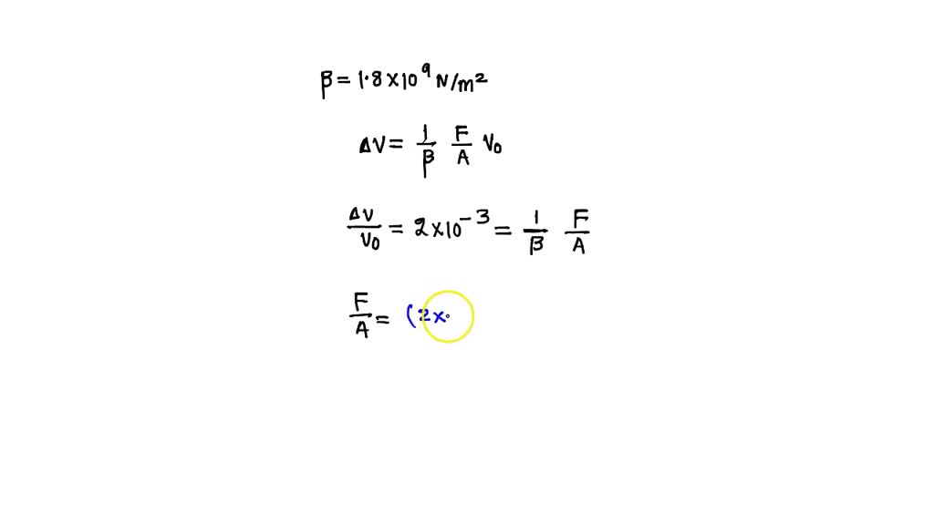
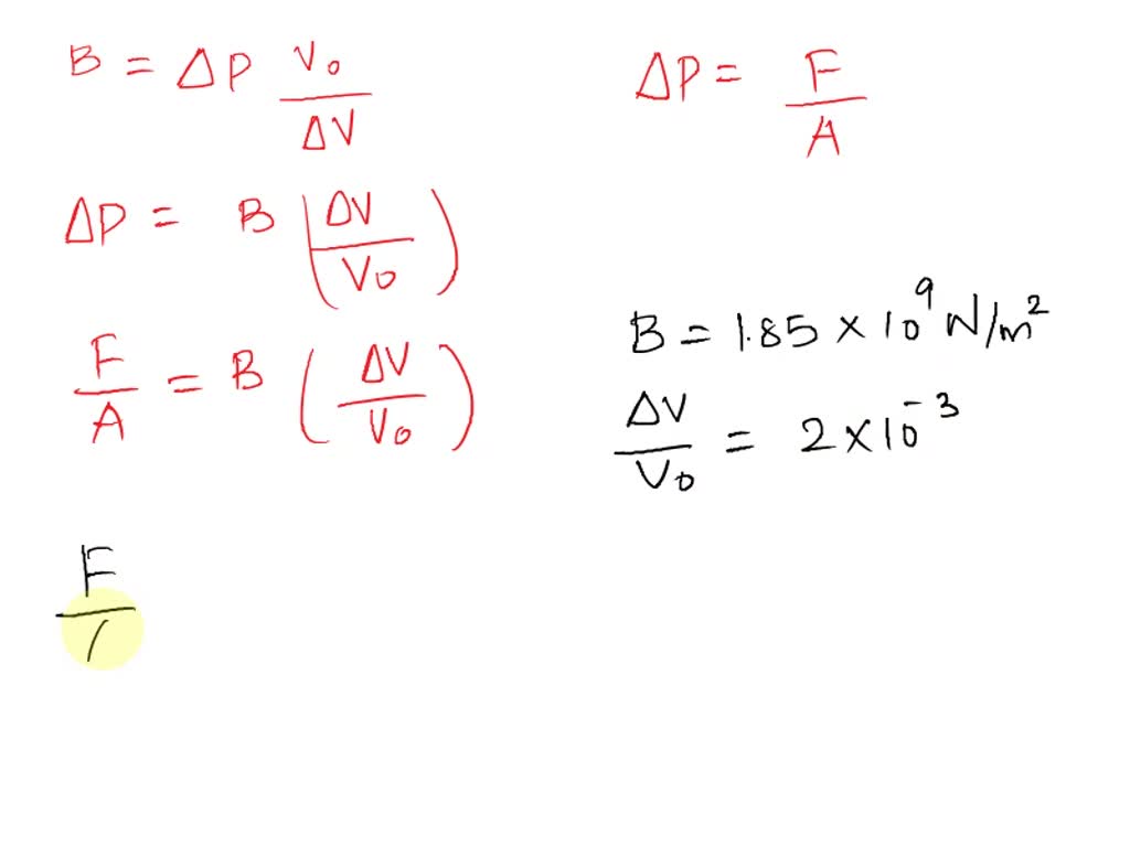
SOLVED: A 100 L Tank Of Gas On A Certain Track Is Filled To The Brim

SOLVED: A 100 L tank of gas on a certain track is filled to the brim www.numerade.com

SOLVED: Calculate The Volume Of Water (in Cm? That Overflows When A

SOLVED: Calculate the volume of water (in cm? that overflows when a www.numerade.com

Brim Volume Of 48 Inch Coating Pan Vast Selection | Ricardoalpoim.com.br

Brim Volume Of 48 Inch Coating Pan Vast Selection | ricardoalpoim.com.br ricardoalpoim.com.br

Stainless Steel Peanut Coater Machine At Rs 55000/piece In Rajkot | ID

Stainless Steel Peanut Coater Machine at Rs 55000/piece in Rajkot | ID www.indiamart.com

Coating pan. Fadware saucepan with lid 28 cm / 3.8 l, induction low stock pot, sauté. Coating pans